
തിരുവനന്തപുരം : പേവിഷ പ്രതിരോധ വാക്സീൻ സൂക്ഷിക്കുന്ന കോൾഡ് ചെയിൻ സംവിധാനത്തിന് വീഴ്ചകളുണ്ടോ എന്ന് പരിശോധിക്കാൻ ആരോഗ്യ വകുപ്പ് തീരുമാനം. വാക്സീൻ കുത്തിവയ്ക്കുന്നവർക്ക് കൃത്യമായ അറിവ് , കഴിവ് എന്നിവ ഉണ്ടോ എന്നും സർക്കാർ പരിശോധിക്കും. ആരോഗ്യ സ്ഥാപനങ്ങൾക്കോ ഇതുമായി ബന്ധപ്പെട്ട വ്യക്തികൾക്കോ വീഴ്ച സംഭവിച്ചോ എന്നതും പരിശോധിക്കാൻ സർക്കാർ ഉത്തരവ്. പേവിഷബാധ പഠനം നടത്താൻ സർക്കാർ രൂപീകരിച്ച വിദഗ്ധ സമിതിക്ക് നൽകിയ ടേംസ് ഓഫ് റഫറൻസിലാണ് ഇക്കാര്യങ്ങൾ ഉൾപ്പെടെ 9 കാര്യങ്ങൾ കണ്ടെത്തി വിശദ റിപ്പോർട്ട് നൽകാൻ ഉത്തരവിറക്കിയത് കണ്ടെത്തി
പേവിഷ പ്രതിരോധ വാക്സീൻ എടുത്തിട്ടും ആറു പേർക്കാണ് പേവിഷ ബാധ ഏറ്റ് മരണം സംഭവിച്ചത്. ഇതിൽ 13കാരിയും ഉൾപ്പെട്ടു. തുടർന്ന് വാക്സീന്റെ ഗുണനിലവാരം, പ്രാഥമിക ചികിൽസയിലെ വീഴ്ച അങ്ങനെ വിവാദങ്ങൾ ഏറെ ഉയർന്നു. ഇതേ തുടർന്നാണ് സർക്കാർ വിദഗ്ധ സമിതിയെ നിയോഗിച്ച് പരിശോധനയ്ക്ക് തയറായത്
കേരളത്തിൽ വാക്സീനുകൾ സൂക്ഷിക്കുന്ന കോൾഡ് ചെയിൻ സംവിധാനം കുറ്റമറ്റതാണോ എന്ന വലിയ ചോദ്യം ഉയരുന്നുണ്ട് . പല ആശുപത്രികളിലും ജനറേറ്റർ അടക്കം സംവിധാനങ്ങൾ ഇല്ല. അതായത് 3 മുതൽ 8 ഡിഗ്രി സെൽഷ്യസിൽ സൂക്ഷിക്കേണ്ട പേവിഷ പ്രതിരോധ വാക്സീൻ ആ ഊഷ്മാവിൽ അല്ലാതെ വളരെ ചെറിയ സമയം ഇരുന്നാലും ഗുണമേന്മയിൽ പ്രശ്നം ഉണ്ടാകും . അതുകൊണ്ട് തന്നെ കോൾഡ് ചെയിൻ എവിടെ എങ്കിലും പാളിയിട്ടുണ്ടോ എന്നാണ് സർക്കാർ പരിശോധിക്കുന്നത്. ജില്ലാ ആശുപത്രികൾ മുതൽ താഴേത്തട്ടിലുള്ള പല ആശുപത്രികളിലും കോൾഡ് ചെയിൻ സംവിധാനം കറണ്ട് പോയാൽ തീരുന്നതാണ്. ഈ സാഹചര്യത്തിൽ എന്തു പ്രതിവിധിയാകും സർക്കാർ സ്വീകരിക്കുന്നതെന്നത് പ്രധാനമാണ്. എല്ലാ ആശുപത്രികളിലും ജനറേറ്റർ അടക്കം സംവിധാനം ഒരുക്കി കറണ്ട് പോയാലും ഊഷ്മാവ് ക്രമീകരിച്ച് നിർത്താൻ പറ്റുന്ന തരത്തിൽ എന്ത് നടപടിയാകും ആരോഗ്യവകുപ്പിന് മുന്നിലുള്ളതെന്ന വലിയ ചോദ്യം ബാക്കിയാണ്
അതേസമയം ഗുണനിലവാരത്തിൽ സംശയം വന്നാൽ അത് സംസ്ഥാന സർക്കാരിന് തന്നെ പരിശോധനക്ക് അയക്കാം എന്നിരിക്കെ വാക്സീൻ ഗുണനിലവാരം വീണ്ടും ഉറപ്പാക്കണമെന്ന കത്ത് കേന്ദ്രത്തിന് നൽകി . കേരളത്തിലെത്തിച്ചിട്ടുള്ള വാക്സീൻ , സൂക്ഷിക്കുന്നതിലടക്കം പ്രശ്നങ്ങൾ ഉണ്ടായിട്ടുണ്ടെങ്കിൽ അതിന്റെ ഫലപ്രാപ്തിയിലും പ്രശ്നങ്ങൾ ഉണ്ടാകും. ഇത് മനസിലാക്കാൻ പേവിഷ ബാധയേറ്റവർക്ക് കുത്തിവയ്ച്ച വാക്സീൻ, അല്ലെങ്കിൽ ആ ബാച്ച് വാക്സീൻ വേണം പരിശോധനക്ക് അയക്കാൻ എന്നിരിക്കെ കമ്പനി ഇപ്പോൾ നിർമിക്കുന്ന വാക്സീന്റെ ഗുണനിലവാരം മാത്രം നോക്കിയിട്ട് എന്തുകാര്യമെന്ന ചോദ്യം ആരോഗ്യ വിദഗ്ധർ ഉന്നയിക്കുന്നുണ്ട്
പേവിഷ പ്രതിരോധ വാക്സീൻ എടുത്തിട്ടും പേവിഷബാധയേറ്റ് മരണങ്ങൾ തുടരുന്നതിനിടെ അതിനെ കുറിച്ച് പഠിക്കാൻ ആരോഗ്യ വകുപ്പ് നിയോഗിച്ച വിദഗ്ധ സമതിക്ക് കണ്ടെത്താനുള്ളത് മേൽ പറഞ്ഞ കാര്യങ്ങളടക്കം 9 കാര്യങ്ങളാണ്.
വാക്സീൻ പോളിസിയിൽ മാറ്റം വേണ്ടതുണ്ടോ എന്നതടക്കം കാര്യങ്ങൾ എത്രയും വേഗം പരിശോധിച്ച് റിപ്പോർട്ട് നൽകണമെന്ന നിർദേശവും നൽകിയിട്ടുണ്ട്
വിദഗ്ധ സമിതി പഠിക്കേണ്ടതും റിപ്പോർട്ട് നൽകേണ്ടത് ഇക്കാര്യങ്ങൾ
1. പേ വിഷ പ്രതിരോധ വാക്സീനും ഇമ്യൂണോ ഗ്ലോബുലിനും എടുത്തവരിലെ പേവിഷബാധ എങ്ങനെ എന്ന് കണ്ടെത്തണം
2. പേ വിഷ ബാധ തടയാനുള്ള അവസരങ്ങളും ഇടപെടാനുള്ള തന്ത്രങ്ങളും എവിടെയാണ് പിഴച്ചത്
3. വാക്സീനേഷൻ നൽകുന്നവരുടെ അറിവ് , കഴിവ് , കുത്തി വയക്കുന്ന രീതി എന്നിവ കൃത്യമാണോ , ഇക്കാര്യത്തിൽ എവിടെ എങ്കിലും വീഴ്ച സംഭവിച്ചിട്ടുണ്ടോ
4. നിലവിലുള്ള വാക്സീൻ പര്യാപ്തത , വാക്സീനും ഇമ്യൂണോ ഗ്ലോബുലിനും എടുത്തശേഷം ആന്റിബോഡി രൂപം കൊളളുന്നുണ്ടോ , ഇല്ലെങ്കിൽ അതിന് കാരണമെന്താകാം
5. വാക്സീൻ സൂക്ഷിക്കേണ്ട കോൾഡ് ചെയിൻ സംവിധാനം കുറ്റമറ്റതാണോ , എവിടെ എങ്കിലും കോൾഡ് ചെയിൻ സംവിധാനത്തിന് വീഴ്ച സംഭവിച്ചിട്ടുണ്ടോ
6. ഏതെങ്കിലും വ്യക്തിയ്ക്കോ സ്ഥാപനങ്ങൾക്കോ ഉത്തരവാദിതത്വം നടപ്പാക്കുന്നതിൽ വീഴ്ച വന്നോ, വാക്സീൻ വാങ്ങുന്നത് എങ്ങനെ , കമ്മിഷനടക്കം കാര്യങ്ങൾ ഉൾപ്പെട്ടിട്ടുണ്ടോ
7. വാകീസിൻ നൽകേണ്ട പോളിസിയിൽ പിഴവുണ്ടോ
8. 2025 ഓടെ പേവിഷ ബാധ ഏറ്റുള്ള മരണം പൂർണമായും ഒഴിവാക്കാൻ എന്തുചെയ്യണം
9. വിദഗ്ധ സമിതി പഠനത്തിലും പരിശോധനയിലും കണ്ടെത്തിയ മറ്റ് കാര്യങ്ങളുണ്ടെങ്കിൽ അതും വ്യക്തമാക്കണം
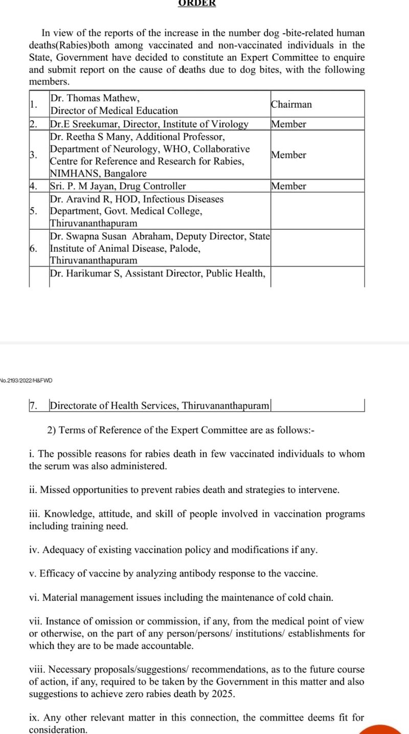
സംസ്ഥാനത്തെ പേവിഷബാധ സംബന്ധിച്ച പഠനം നടത്തുന്നതിന് രൂപീകരിച്ച വിദഗ്ധ സമിതിയിൽ മെഡിക്കല് വിദ്യാഭ്യാസ വകുപ്പ് ഡയറക്ടര് ഡോ.തോംസ് മാത്യു ആണ് തലവൻ. ഇന്സ്റ്റിറ്റിയൂട്ട് ഓഫ് വൈറോളജി ഡയറക്ടര് ഡോ. ഇ. ശ്രീകുമാര്, ഡബ്ല്യുഎച്ച്ഒ കോളാബെറേറ്റ് സെന്റര് ഫോര് റഫറന്സ് ആന്റ് റിസര്ച്ച് ഫോര് റാബീസ് നിംഹാന്സ് ബാംഗളൂര് അഡീഷണല് പ്രൊഫസര് ഡോ. റീത്ത എസ്. മണി, ഡ്രഗ് കണ്ട്രോളര്, തിരുവനന്തപുരം മെഡിക്കല് കോളേജ് ഇന്ഫെക്ഷ്യസ് ഡിസീസ് വിഭാഗം മേധാവി ഡോ. അരവിന്ദ്, പാലോട് സ്റ്റേറ്റ് ഇന്സ്റ്റിറ്റിയൂട്ട് ഫോര് അനിമല് ഡിസീസ് ഡെപ്യൂട്ടി ഡയറക്ടര് ഡോ. സ്വപ്ന സൂസന് എബ്രഹാം, ആരോഗ്യ വകുപ്പ്, പൊതുജനാരോഗ്യ വിഭാഗം അസി. ഡയറക്ടര് എന്നിവര് അംഗങ്ങളാണ്.
പേവിഷബാധ വൈറസിന് ജനിത വകഭേദം ഉണ്ടായിട്ടുണ്ടോയെന്നും സംസ്ഥാനം പരിശോധിക്കുണ്ട്. വാക്സിനുകളുടെ ഫലപ്രാപ്തി നഷ്ടപ്പെടുത്തുന്ന തരത്തിലുള്ള ജനിതക വ്യതിയാനങ്ങൾ റാബിസിൽ അത്യപൂർവമാണ്. എങ്കിലും അടുത്ത കാലത്ത് പേ വിഷബാധ ഉണ്ടായവരിൽ വാക്സിനും സിറവും സ്വീകരിച്ചവരുമുണ്ട് എന്നതിനാലാണ് ഇത്തരം ഒരു അന്വേഷണം കൂടി നടത്തുന്നത്. ഇതിനായി സംസ്ഥാനത്ത് നിന്ന് ശേഖരിച്ച വൈറസുകളുടെ സമ്പൂർണ ജനിതക ശ്രേണീകരണം (കംപ്ളീറ്റ് ജീനോമിക് അനാലിസിസ്) പൂന നാഷണൽ ഇൻസ്റ്റിറ്റ്യൂട്ട് ഓഫ് വൈറോളജിയിൽ ആണ് നടത്തുന്നത്.
പേവിഷ ബാധ പ്രതിരോധിക്കാൻ ആകുമോ, ചെയേണ്ടതെന്ത് ?
കേരളത്തിലെ എല്ലാ വാർത്തകൾ Kerala News അറിയാൻ എപ്പോഴും ഏഷ്യാനെറ്റ് ന്യൂസ് വാർത്തകൾ. Malayalam News തത്സമയ അപ്ഡേറ്റുകളും ആഴത്തിലുള്ള വിശകലനവും സമഗ്രമായ റിപ്പോർട്ടിംഗും — എല്ലാം ഒരൊറ്റ സ്ഥലത്ത്. ഏത് സമയത്തും, എവിടെയും വിശ്വസനീയമായ വാർത്തകൾ ലഭിക്കാൻ Asianet News Malayalam